رزین های آلکیدی اساساً رزین های ترموپلاستیک هستند. که پس از حرارت دادن الکل های پلی هیدریک با اسیدهای پلی بازیک یا انیدریدهای آنها ساخته می شوند. اینها اغلب برای ساختن پوشش های محافظ با خواص هوازدگی خوب استفاده می شوند.
علاوه بر این، آنها همچنین به دلیل تطبیق پذیری و هزینه کم، جزء مهمی از چندین رنگ مصنوعی هستند. به طور عمده، آنها توسط فرآیند چند تراکم الکل و یک اسید دی کربوکسیلیک یا انیدرید آن تولید می شوند.
رزین آلکیدی چیست؟
آلکید یک رزین پلی استری است که با افزودن اسیدهای چرب و سایر اجزاء اصلاح شده است. آلکیدها از پلی ال ها و اسیدهای آلی از جمله اسیدهای دی کربوکسیلیک یا انیدرید کربوکسیلیک اسید و روغن های تری گلیسیرید به دست می آیند.
اصطلاح آلکید تغییر نام اصلی “alcid” است که نشان دهنده این واقعیت است که آنها از الکل و اسیدهای آلی مشتق شده اند. گنجاندن یک اسید چرب تمایل به تشکیل پوشش های انعطاف پذیر را ایجاد می کند.
آلکیدها در رنگ ها، لاک ها و در قالب های ریخته گری استفاده می شوند. آنها رزین یا بایندر غالب در اکثر پوشش های تجاری مبتنی بر روغن هستند. تقریباً 200000 تن رزین آلکیدی در سال تولید می شود.
آلکیدهای اصلی ترکیباتی از گلیسرول و اسید فتالیک بودند که تحت نام گلیپتال فروخته می شدند. اینها به عنوان جایگزینی برای رزین های کوپال تیره رنگ فروخته می شدند. بنابراین لاک های آلکیدی ایجاد می کردند. که رنگ بسیار کم رنگ تری داشتند. از اینها، آلکیدهایی که امروزه شناخته شده اند ایجاد شدند.
خواص رزین های آلکیدی
- رزین های آلکیدی رزین های پلی استر ترموپلاستیک هستند. آنها با حرارت دادن الکل های پلی هیدرویک با اسیدهای پلی بازیک تولید می شوند.
- آنها علاوه بر اینکه بسیار همه کاره و ارزان هستند، دارای خواص هوازدگی خوبی هستند. و بنابراین در بسیاری از رنگ های مصنوعی استفاده می شوند.
- رزینهای آلکیدی با فرآیند چند متراکم شدن الکل و اسید دی کربوکسیلیک یا انیدرید آن تولید میشوند.
- اکثر اسیدهای مونوبازیک مورد استفاده در رزین های آلکیدی، اسیدهای چرب با زنجیره بلند طبیعی هستند. انتخاب مواد تشکیل دهنده بر اساس فرآیند تولید است.
- آنها تا حد زیادی با سایر پلیمرهای پوشش سازگار هستند. مانند رزین های وینیل که می توان با رزین های آلکیدی استفاده کرد. و در نتیجه خواص کاربردی و چسبندگی آنها را بهبود می بخشد. یک آلکید امولسیون شده با محتوای بزرگتر به رنگ های مصنوعی اضافه می شود. تا چسبندگی در سطوح رنگ شده گچی را بهبود بخشد. در حالی که آلکیدهای روغنی با محتوای متوسط رزین های سیلیکونی با محتوای فنیل بالا برای پوشش های پخته مخلوط می شوند. تا بدین ترتیب مقاومت در برابر آب و هوا یا گرما بهبود یابد.

آنها تا حد زیادی با سایر پلیمرهای پوشش سازگار هستند. مانند رزین های وینیل که می توان با رزین های آلکیدی استفاده کرد. در نتیجه خواص کاربردی و چسبندگی آنها را بهبود می بخشد.
یک آلکید امولسیون شده با محتوای بزرگتر به رنگ های مصنوعی اضافه می شود تا چسبندگی در سطوح رنگ شده گچی را بهبود بخشد. در حالی که آلکیدهای روغنی با محتوای متوسط با رزین های سیلیکونی با محتوای فنیل بالا برای پوشش های پخته مخلوط می شوند تا بدین ترتیب مقاومت در برابر آب و هوا یا گرما بهبود یابد.
تاریخچه رزین های آلکیدی
تحقیقات اولیه منجر به رزینهای آلکیدی توسط تعدادی از محققین انجام شد. که درک واضحتری از واکنشهای شیمیایی حاکم بر رزینهای پلیمری و اسید الکل از مونومرهای چند عملکردی ارائه کردند.
آلکید، اصطلاحی بود که کینله از الکل و اسید ابداع کرد. در کاربرد متداول آلکیدها به پلی استرهای غیراشباع اطلاق می شود. که در آن غیراشباع بودن در زنجیره جانبی اسیدهای چرب روغن طبیعی متصل است.
اولین رزین های آلکیدی، گلیپتول ها بودند. که توسط جنرال الکتریک بر اساس تحقیقات فوق الذکر برای ایجاد عایق الکتریکی بهتر تولید شدند.
در اواسط دهه هفتاد بازار و روندهای نظارتی، علیه رزین های آلکیدی کار می کردند. قانون 66 کالیفرنیای جنوبی بر اساس کار اولیه اتاقک مه دود و به دلیل تمایل به پاکسازی جو کالیفرنیای جنوبی از مه دود. شروع به تعریف ماهیت حلال هایی کرد که می توانند در پوشش ها استفاده شوند.
در اوایل دهه هشتاد، تولیدکنندگان پوشش در سراسر مناطق. تحت نظارت کشورآمریکا، مواد جامد بالاتر و رنگهای آلکیدی قابل احیا با آب را برای برآورده کردن محتویات آلی فرار کمتر مورد نیاز توسط مقررات جدید، تولید و به بازار عرضه کردند.
این آلکیدهای سازگار به آسانی توسط بازارهای مصرف پذیرفته نشدند. زیرا تخریب بسیار زودتر در حفظ رنگ و براقیت و خواص خشک کردن ضعیفتر را نشان دادند.
محتوای جامد بالاتر نیز بر کاربرد مناسب این پوششها تأثیر گذاشت. افزایش «زرد شدن» این آلکیدهای سازگار همچنین از استفاده آنها در بازار تزئینی که به سمت رنگهای پاستلی بسیار روشن میرود، جلوگیری کرد.
این روند توسط EPA تقویت شده و در نهایت استفاده از آلکیدها در مناطق وسیعی از بازارهای پوشش سطحی جلوگیری کرد.
دسته بندی رزین های آلکیدی و ساخت
رزین های آلکیدی به دو دسته خشک شونده (از جمله نیمه خشک شونده) و غیر خشک کننده طبقه بندی شوند.
هر دو نوع به طور معمول از اسیدهای دی کربوکسیلیک یا انیدریدها، مانند انیدرید فتالیک یا انیدرید مالئیک، و پلی ال ها، مانند تری متیلولپروپان، گلیسیرین، یا پنتااریتریتول تولید می شوند. آلکیدها یک رزین مصنوعی هستند و در مواردی مانند رنگ استفاده می شوند. آنها مانند رزین های مشتق شده از منابع طبیعی مانند گیاهان نیستند.
برای خشک کردن رزین ها، تری گلیسیریدها از اسیدهای چرب غیراشباع چندگانه (اغلب از روغن های گیاهی به عنوان مثال روغن بذر کتان) به دست می آیند. این آلکیدهای خشک شونده توسط اکسیژن موجود در هوا خشک می شوند.
سرعت خشک شدن و ماهیت پوشش ها به مقدار و نوع روغن خشک کن استفاده شده (روغن چند غیراشباع بیشتر به معنای واکنش سریعتر در هوا) و وجود کاتالیزورها، به اصطلاح عوامل خشک کننده روغن، بستگی دارد.
این کاتالیزورها کمپلکس های فلزی هستند که باعث کاتالیز شدن اتصالات عرضی سایت های غیراشباع می شوند. نمک های کبالت به ویژه موثر هستند و به طور گسترده مورد استفاده قرار می گیرند. با این حال، به دلیل سرطان زایی کبالت، استفاده از آن در آلکیدها برای حذف تدریجی آن در حال تحقیق است.
ساختار رزین آلکیدی
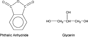
رزین های آلکیدی پلی استرهای آلی هستند. آنها از یک اسید پلی بازیک، یک مولکول با دو یا چند گروه اسیدی و یک الکل پلی هیدریک، یک مولکول با دو یا چند گروه هیدروکسیل مشتق شده اند. نمونه هایی از دو مولکول با ساختار پلیمری در شکل آورده شده است.


انیدرید فتالیک و گلیسرول نمونه هایی هستند. یک واکنش استریفیکاسیون بین دو ماده، یک مولکول استر تولید می کند. رزین های آلکیدی با وزن مولکولی کم، معمولاً 2000 تا 10000 ساخته می شوند. با این حال، آنها حاوی گروههای هیدروکسیل و اسیدی هستند که واکنش نشان ندادهاند که میتوانند با مولکولهای دیگر یا با اکسیژن واکنش دهند تا اتصال جامد را تشکیل دهند.
پلیمرها برای یک محیط زیست پایدار و انرژی سبز
رزینهای آلکیدی را میتوان بهعنوان دستهای از پلیمرهای تراکم اصلاحشده در نظر گرفت. در اصل، رزینهای آلکیدی صرفاً محصولات واکنش انیدرید فتالیک و گلیسیرین بودند. و برای ایجاد پوششها بسیار شکننده بودند.
با این حال، استفاده از روغنهای چرب یا اسیدهای چرب غیراشباع در ترکیب با آلکیدهای شکننده منجر به ایجاد پوششهای انعطافپذیر، براق و خشککننده هوا شد که در زمان کشف، صنعت پوششهای شیمیایی را متحول کرد. هنوز هم امروزه، پوششهای سطحی مبتنی بر رزینهای آلکیدی، همچنان یکی از بزرگترین انواع پوششهای مورد استفاده در جهان هستند.
آلکیدهای گلیسرول تجاری زمانی تولید میشوند که روغنهای چرب با گلیسرول اضافی واکنش داده و منجر به ترانس استری شدن تریاسیل گلیسرول به یک مخلوط شود. اسیدهای چرب مونو و دی گلیسیرید. این گلیسریدهای جزئی، با اسیدهای دی بازیک یا انیدریدهای اسید واکنش می دهند. و رزین پلی استری را تشکیل می دهند که گروه های اسید چرب آویزان به آن متصل می شوند .

اتکای آلکیدی به بلوک های ساختمانی پلیمری با مگاوات پایین
به طور کلی، رزینهای آلکیدی به بلوکهای ساختمانی پلیمری با مگاوات پایین زیر متکی هستند:
- اسید دی بازیک یا انیدرید مانند: انیدرید فتالیک یا اسید ایزوفتالیک. اسیدهای دی بازیک مورد استفاده برای تهیه آلکیدها معمولا معطر هستند. در نتیجه نصف معطر، Tg پلیمر افزایش می یابد. اخیراً، اسید ترفتالیک در هنگام استفاده از پلی (اتیلن ترفتالات) بازیافت شده (PET) به عنوان یک ماده تشکیل دهنده برای تولید رزین آلکیدی مورد بررسی قرار گرفته و نیز استفاده می شود. آنها به طور کلی خاصیت ارتجاعی فیلم پلیمری را افزایش می دهند.
- پلی ال هایی مانند گلیسرول (که پرمصرف ترین پلی ال در رزین های آلکیدی است)، پنتا اریتریتول، دی پنتا اریتریتول، تری متیل پروپان، اتیلن یا پروپیلن گلیکول.
- اسید چرب. همانطور که قبلاً ذکر شد، آلکیدهای گلیسرول تجاری، نیمه اسید چرب را با تراکم همزمان با یک روغن چرب، به ویژه روغن سویا، روغن نخل، روغن نارگیل، روغن کلزا، روغن گلرنگ، روغن بادام زمینی، روغن آفتابگردان، روغن کرچک یا روغن کرچک دهیدروژنه، بذر کتان معرفی می کنند. روغن یا روغن تونگ اگر آلکید بر پایه پلیال غیر از گلیسرول باشد، باید به جای روغنهای چرب از اسیدهای چرب استفاده شود. و فرآیند تولید را میتوان در یک مرحله و با کاهش زمان استفاده از راکتور انجام داد. علاوه بر خشک کردن و نیمه خشک کردن اسیدهای چرب به دست آمده از تقسیم روغن های چرب، TOFA تا حد زیادی به عنوان یک جایگزین اقتصادی تر استفاده می شود.
با توجه به قوانین سختگیرانه محیط زیستی و جلوگیری از آلودگی هوا، تهیه امولسیونهای آلکیدی مبتنی بر آب برای استفاده در رنگهای خشکشونده ، عمدتاً برای کاربردهایی که خودتان انجام میدهید با حلالهای فرار کم، در صورت وجود، مهم شده است. چنین امولسیونی با استفاده از سورفکتانتهای غیریونی مانند یک الکل لوریل بسیار اتوکسیله، یک سورفکتانت آنیونی مانند سولفات اتر الکل چرب، یا سورفکتانتهای غیریونی قابل پلیمریزاسیون مانند مونواتانول آمید اتوکسیلاتهای اسید چرب بر اساس یک کسر اسید چرب روغن بذر تثبیت شدهاند.
برای پایدار کردن آلکیدهای متشکل از آب، ایجاد پراکندگی با یک هسته آلکیدی و برای مثال، یک پوسته اکریلیک است. . شیمی هیبرید آلکیدی را می توان در اطراف انواع اکریلیک، 80 اورتان (که در آن زمان uralkyds81 نامیده می شد)، پلی استر و/یا انواع اپوکسی طراحی کرد. هیبریدهای آلکیدی موجود در آب، هم تشکیل فیلم مورد نیاز برای براقیت و مقاومت در برابر خوردگی بالا و هم اتصال متقابل اکسیداتیو مورد نیاز برای خواص مقاومت را ارائه می دهند.